籼粳杂交稻是籼粳两亚种杂交生下的“混血儿”,是水稻家族的新类型,其产量潜力高,增产幅度大,具有广阔应用前景。但与常规粳稻和杂交籼稻相比,其高产高效的栽培理论和技术研究起步较晚,生产发展上存在诸多科技问题需要解决。籼粳杂交稻普遍存在植株偏高、生育期超亲晚熟等问题,产量形成过程中的超高产群体构建与光能高效利用间的矛盾日益突出。光合作用是作物产量形成的物质基础,受群体结构的直接影响,二者共同决定水稻产量的形成过程。因此,深入解析群体结构特征与光合生理的协同关系,阐明如何以栽培手段充分发挥籼粳杂交稻群体中后期生长优势,以壮秆大穗构建成高光效的群体结构,将为进一步提高我国水稻单产水平做出更大贡献。
近日,我院张洪程教授课题组在The Crop Journal在线发表了题为Planting density affects yield of indica-japonica hybrid rice by regulating population and photosynthetic characteristics的研究论文。该研究通过2年大田试验,以2个不同产量水平的籼粳杂交稻品种为试验材料,设置了4种不同的移栽密度,综合比较了不同产量水平籼粳杂交稻的群体特征与光合特性差异,系统解析了群体特征通过影响光合作用调控产量的内在机制。研究结果将为籼粳杂交稻的高产栽培技术与品种选育提供理论依据与实践指导,对保障粮食安全具有重要意义。

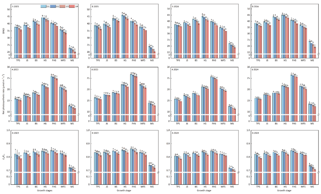
主要结果表明,高产籼粳杂交稻产量更高的原因主要在于其较多的每穗粒数与较大的粒重。此外,其生物量更大,收获指数更高,抽穗期的高效叶面积与有效叶面积均占有一定优势,从而使其拥有较大的作物生长速率与叶面积持续时间。而叶片宽度与叶片角度的增加,使剑叶SPAD值、净光合速率及最大光化学效率增加,物质输出量加大,粒重/叶占优。各时期较大的叶片酶活性也是其光合作用占有优势的原因之一。对籼粳杂交稻适当增加移栽密度(采用16 cm×30 cm或14 cm×30 cm),虽然会对水稻群体特征与光合特征产生负面影响,导致株高降低,上三叶的叶长、叶宽及叶片角度下降,穗部枝梗数及饱粒数减少,各时期剑叶相关酶活性与净光合速率降低,但有效穗数的增加使得其库容量变大,生物量增加,最终实现了产量与经济效益的协同增加。

图1 移栽密度对籼粳杂交稻剑叶SPAD值、净光合速率与最大光化学效率的影响

图2 移栽密度对籼粳杂交稻剑叶相关酶活性的影响

图3 籼粳杂交稻群体特征、光合特性与产量的相关性
我院在读博士研究生糜凯亮为该文第一作者,张海鹏副教授与张洪程教授为共同通信作者。该研究得到国家重点研发计划项目(2024YFD2300301)、国家自然科学基金项目(32472223、31901447)和江苏高校“青蓝工程”骨干教师培养计划的资助。