
近日,我室徐辰武教授研究团队在国际著名期刊Plant Biotechnology Journal上发表了题为“Incorporation of parental phenotypic data into multi-omic models improves prediction of yield-related traits in hybrid rice”的研究论文,该研究首次整合水稻亲本的表型信息进行杂交种表型的多组学预测,有效提高了表型预测的准确性,为利用基因组选择技术开展水稻杂交种选育工作提供新的思路。
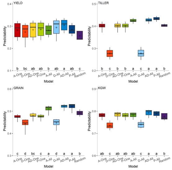
该研究首先提出了一种高效的交叉验证方法HAT,利用该方法替代n-fold交叉验证评价预测的准确性。然后基于水稻自交系的基因组、转录组、代谢组和表型数据及部分杂交种的表型数据,开展了单一组学和多组学的联合分析,研究结果表明多组学预测效果显著优于单一组学,并且无论采用何种组学信息进行预测,结合亲本的表型信息后,预测准确性均有显著提高(图1)。在此基础上,进一步探究如何有效整合亲本信息,共考虑了9种模型,其中AD-All模型效果最佳(图2)。基于AD-All模型整合亲本信息,产量、分蘖数、穗粒数和千粒重的预测力平均提高了13.6%,54.5%,9.9%和8.3%。

图1 不同组学、性状和模型的预测力的多重比较

图2 9种整合亲本表型模型的预测力的多重比较
该研究提出将亲本表型信息纳入杂交水稻表型预测的新策略,阐明了该策略的实现方法及最优模型,随着高通量表型平台和GS模型的不断发展,该策略有望进一步提高杂交种预测的准确性,为实现作物的精准育种奠定理论基础。
我校为论文的第一完成单位我室青年教师徐扬为该论文第一作者,徐辰武教授和美国加州大学河滨分校Shizhong Xu教授为共同通讯作者。国际玉米小麦改良中心的Xuecai Zhang高级科学家也参与了此项工作。该研究得到了国家重点研发计划和国家自然科学基金等支持。
原文链接:
https://onlinelibrary.wiley.com/doi/10.1111/pbi.13458